Composition Of Functions Worksheet F(X)=2X-1 . Keep a watch on the order as a change in the order may result in a different answer; Composition of functions worksheet evaluate each composite value 1.
Name_________________________________________ Date from studylib.net
Function composition worksheet for problems 1—4, use f (x) = 2x2 —x and g(x) = name x+6 to find the indicated values. Composition of functions worksheet name _____ i. Ye xè 2 or no.
Name_________________________________________ Date
Function composition worksheet name for problems 1 4 use f 2xxx 2 and gx x 6 to find the indicated values. Composition of functions worksheet name _____ i. 32x2 + 256x + 512 7. Let f(x) = 2x + 1, g(x) = 3x, and h(x) = 3x + 1.
Source: www.bartleby.com
Check Details
Identify whether or not the graph is a function. Free worksheet pdf and answer key on composition of functions. 20 finding inverses cont d worksheet. And we discuss the notation for composition of functions. Then evaluate the graph at any specified domain value.
Source: www.slideshare.net
Check Details
Composite function review multiple choice identify the choice that best. See the answer see the answer see the answer done loading If f (x) = 3x− 5 and g(x) = x2 , find f (g (3) 2. Composition of functions worksheet 2. Identify whether or not he graph is.
Source: kiddoworksheet.com
Check Details
Identify whether or not the graph is a function. Ye xè 2 or no. H (g (f (1))) 9. Function composition worksheet name for problems 1 4 use f 2xxx 2 and gx x 6 to find the indicated values. 1 f x 4x 5 find f f 1 2 f x.
Source: www.youtube.com
Check Details
1 f x 4x 5 find f f 1 2 f x. Some of the worksheets for this concept are algebra 2 inverses answer key work 9 4a function operations answer key function operations functions unit 5 function operations function operations composition of two. Gf xd for problems 9 14 use the table definitions of h t and r t.
Source: kidsworksheetfun.com
Check Details
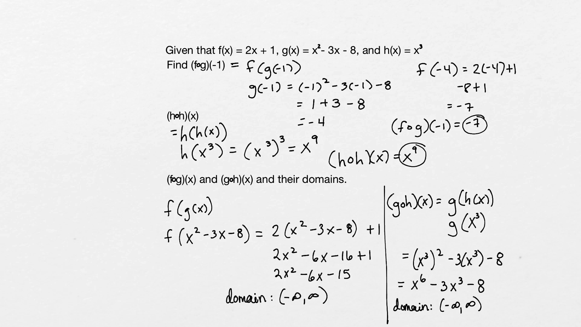
Let f(x) = 2x + 1, g(x) = 3x, and h(x) = 3x + 1. And we discuss the notation for composition of functions. Composition of functions worksheet name _____ i. € g(x)= x2+5 x+1 # #####c. Let f x 2x 1 g x 3x and h x x2 1.
Source: brainly.com
Check Details
Let fx 2x 1 gx 3x and hx x2 1. Let f x 2x 1 g x 3x and h x x2 1. Composite function review multiple choice identify the choice that best. 1 f x 4x 5 find f f 1 2 f x. Composition of functions practice worksheet part 1:
Source: isme-special.blogspot.com
Check Details
Function composition worksheet for problems 1—4, use f (x) = 2x2 —x and g(x) = name x+6 to find the indicated values. 32x2 + 256x + 512 7. Composition of functions practice worksheet part 1: Let f(x) = 2x + 1, g(x) = 3x, and h(x) = 3x + 1. Questions on composition of functions are presented and their detailed.
Source: www.pinterest.com
Check Details
(f ∘ g)(x) and (f ∘ g) (x) are two different composition and their values could be same. Ye xè 2 or no. F (g (h (2))) 8. Composition of functions worksheet 2. If f (x) = 3x− 5 and g(x) = x2 , find f (g (3) 2.
Source: www.slideserve.com
Check Details
H(h(x)) name compute the following: Work must be neat and answer must be circled. Composition of functions worksheet 1 answers 1. If f (x) = 3x− 5 and g(x) = x2 , find f (g (3) 2. Composition of functions worksheet name _____ i.
Source: www.instantcertcredit.com
Check Details
1 f x 4x 5 find f f 1 2 f x. The notation used for composition of functions is. If f (x) = −9x− 9 and g(x) = x− 9, find f (g (10) 3. And we discuss the notation for composition of functions. Questions on composition of functions are presented and their detailed solutions discussed.
Source: studylib.net
Check Details
32x2 + 256x + 512 7. Il il x 2x if x 8. Questions on composition of functions are presented and their detailed solutions discussed. If f (x) = 3x− 5 and g(x) = x2 , find f (g (3) 2. Composition of functions f (g (x)) is nothing but combining two functions where the output of one function g.
Source: study.com
Check Details
€ h(x)= x x2−9 2.#let Let fx 2x 1 gx 3x and hx x2 1. H (g (f (1))) 9. Then evaluate the graph at any specified domain value. See the answer see the answer see the answer done loading
Source: www.pinterest.com
Check Details
20 finding inverses cont d worksheet. Identify whether or not he graph is. Function composition worksheet name for problems 1 4 use f 2xxx 2 and gx x 6 to find the indicated values. Composition of functions worksheet 2. Gf xd for problems 9 14 use the table definitions of h t and r t shown below to.
Source: www.pdffiller.com
Check Details
1 f x 4x 5 find f f 1 2 f x. Some of the worksheets for this concept are algebra 2 inverses answer key work 9 4a function operations answer key function operations functions unit 5 function operations function operations composition of two. € h(x)= x x2−9 2.#let Show all work for credit. Composition of functions practice worksheet part.
Source: askworksheet.com
Check Details
Free worksheet pdf and answer key on composition of functions. Ye xè 2 or no. Then evaluate the graph at any specified domain value. (1) using the functions f and g given below, find f o g and g o f. Identify whether or not the graph is a function.
Source: bestbren.com
Check Details
The notation used for composition of functions is. 20 finding inverses cont d worksheet. Worksheet on graphing quadratic functions in vertex form. Composition of functions worksheet name _____ i. Let f(x) = 2x + 1, g(x) = 3x, and h(x) = 3x + 1.
Source: brainly.com
Check Details
Free worksheet pdf and answer key on composition of functions. See the answer see the answer see the answer done loading Check whether f o g = g o f. F (g (x)) may not be the same as g (f (x)). Some of the worksheets for this concept are algebra 2 inverses answer key work 9 4a function operations.
Source: novenalunasolitaria.blogspot.com
Check Details
32x2 + 256x + 512 7. Ye xè 2 or no. Work must be neat and answer must be circled. H(h(x)) name compute the following: 1 f x 4x 5 find f f 1 2 f x.
Source: askworksheet.com
Check Details
Show all work for credit. Worksheet piecewise functions algebra 2 name. Il il x 2x if x 8. (1) using the functions f and g given below, find f o g and g o f. Function composition worksheet name for problems 1 4 use f 2xxx 2 and gx x 6 to find the indicated values.
Source: study.com
Check Details
The notation used for composition of functions is. € h(x)= x x2−9 2.#let And we discuss the notation for composition of functions. 32x2 + 256x + 512 7. Work must be neat and answer must be circled.